Example 2 compute the integral z 4 0 x3dx by computing riemann sums for a regular partition. The company helps ad agencies and performance marketers buy, track, attribute, optimize and report media across.
52 xi is calculated with right endpoints bc its.

Deltax and xi integrals. Has been decompose intonpieces of equal length, for somepositive integern. Δx= xi= (b) using the definition mentioned above, evaluate the integral. The use of integral formulas plays a key role in solving complex problems of mathematical sciences and applied sciences.
Call each numbered interval i. The error is the sum of two terms, floating point rounding error + error due to the difference between the actual function and the approximation due to the finiteness. So,xi =a+i∆ andxi ≤ai ≤xi+1and for such a uniformdecomposition, the.
52 xi is calculated with right endpoints bc its easier xi a ideltax deltax b an. Then you can sum the. Using definite integral notation, we can represent the exact area:
Let be the right riemann sum approximation of our area using equal. You would read it as “the integral of f of x with respect to x (over the domain of a to b.)” other calculus symbols. Functions can be defined in terms of areas.
If there are no values for a and b, it represents the entire function. We can approximate this area using riemann sums. Integrals are equal, and it this case, we definerfto be the common value of the upper and lower integrals.
Let fhave the constant valuecon theinterval [a, b]. Integral formulas are listed along with the classification based on the types of functions involved. I got an integral in solving schrodinger equation with delta function potential.
To find the area under a curve you divide it up into n intervals. We use the partition to divide the region into strips we then approximate the strips using rectangles and choosing a sample point in each subinterval figure 2. (a) determine δx and xi.
The major aim of this paper is to develop four. We will also look at the first part. In this section we will formally define the definite integral, give many of its properties and discuss a couple of interpretations of the definite integral.
Also, get the downloadable pdf of integral formulas for different functions like trigonometric. The length of each piece is then ∆ :=b−a. Note that a = 0, b = 4 and f(x) = x3.use a regular partition for each positive integer n.
This is a challenging, yet important step towards a formal definition of the definite integral. Summation notation can be used to write riemann sums in a compact way. That's used in the derivation of integrals, not in the integrals themselves.
For each definitive integral, define deltax and xi, set up the limit of the riemann sum that defines this integral, and solve the integral using the limit definition. School northern virginia community college; Whatsapp for any query :

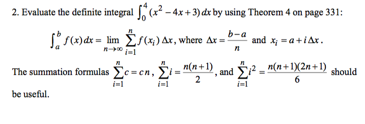
Solved Evaluate The Definite Integral 4 Integrate 0 (X^2 - | Chegg.com

❖ Calculating A Definite Integral Using Riemann Sums - Part 1 ❖ - Youtube
ads
Search This Blog
Blog Archive
- January 2023 (83)
- December 2022 (255)
- November 2022 (186)
- October 2022 (149)
Labels
- 1125
- 2cost0
- 2cosx
- 2lnx
- 2pir
- 2sin2x0
- 2sinx0
- 2xy4
- 45percent
- 5cosx
- 84po
- aacetoacetate
- abbasid
- abstract
- abundant
- acceleration
- acceptable
- accepted
- acetate
- acid
- acids
- after
- agent
- al2cl6
- alanine
- albedo
- alcohol
- alka
- alkene
- alleles
- alpha
- also
- ammonium
- anadiplosis
- angle
- angles
- animals
- anion
- answers
- anti
- antideriantiderivative
- antiderivative
- antigen
- approaches
- approximation
- aqueous
- archetype
- arcseconds
- arctan
- arctan2x
- arctan4x
- area
- asymptotes
- atom
- atomic
- atoms
- axis
- bacteria
- balance
- baptism
- barber
- barium
- base
- basic
- bbreviated
- beauty
- because
- before
- bent
- beryllium
- beta
- between
- bike
- bisulfate
- boiling
- bond
- bonding
- bonds
- boron
- bottom
- bound
- brf4
- bromination
- bromine
- bronsted
- buffer
- c2f2
- c4h10
- c4h10o
- c5h12
- c6h14
- c6h6o2co2h2o
- caffeine
- calcium
- calculate
- calculating
- calculations
- called
- capitalized
- captain
- carbon
- carbonate
- cast
- cation
- cavities
- ccl4
- cell
- cellular
- ch2o
- ch4o
- chage
- characters
- charge
- charges
- chcl3
- chlorite
- chromate
- chromatids
- chromosomes
- closed
- cobalt
- cof2
- cohesive
- cojugate
- colors
- compare
- comparison
- complement
- composition
- compound
- compounds
- condensed
- conductor
- config
- configuration
- configurations
- congruent
- conjugate
- constant
- continuity
- coordinates
- copper
- cos2xcos4x
- cosh
- cosign
- cosx
- cosx1
- cosxsinx
- cotxsinx
- counter
- covalent
- cross
- csc2x
- cscx
- cube
- cucl2
- current
- curve
- cyanobacteria
- cycle
- decay
- decimal
- decomposers
- decrdase
- decreases
- define
- degree
- degrees
- delocalization
- delta
- deltax
- denaturation
- denature
- density
- derivative
- derivatives
- deriviate
- determine
- determined
- determines
- determining
- devices
- diagram
- diamagnetic
- diatomic
- different
- differentiate
- dilution
- diphosphorus
- diple
- diploe
- dipole
- direct
- disaccharides
- discontinuity
- dispersion
- displacement
- dissolve
- dissolved
- distance
- does
- doesnt
- domain
- domains
- draw
- drawing
- easily
- easy
- efficacy
- electron
- electrons
- element
- elements
- ellipse
- elnx
- emit
- empirical
- enantiomer
- endocrine
- energy
- enthalpy
- entropy
- enzyme
- enzymes
- epoxide
- equal
- equilibrium
- error
- esteem
- ethane
- even
- events
- evidence
- exact
- example
- examples
- excess
- excited
- expansion
- expression
- extraneous
- familys
- fatty
- field
- figures
- film
- find
- finding
- first
- fischer
- flouride
- fluoride
- follow
- food
- force
- forces
- form
- formal
- formation
- forms
- formula
- fourths
- fraction
- fractions
- freezing
- french
- friction
- from
- fructose
- full
- function
- fundamental
- gases
- generation
- geometric
- geometry
- germanium
- gibbs
- give
- glucose
- gold
- good
- grams
- graph
- group
- h2so4
- half
- hallie
- have
- hclo2
- hco2
- hess
- heterogeneous
- high
- hold
- homogeneity
- homogeneous
- horizontal
- hour
- household
- hso4
- humans
- husband
- hydrogen
- hydrogens
- hydronium
- hydroxide
- hypobromite
- hypotonic
- idea
- ideal
- identify
- identiies
- important
- increase
- indirect
- induced
- infinity
- inhibitor
- initial
- inside
- integer
- integral
- integrals
- integrate
- integration
- intercept
- intermolecular
- intestines
- into
- inverse
- ionic
- ions
- isomers
- isothermal
- iupac
- jobs
- judge
- jump
- jupiter
- kind
- kingdom
- koha
- kpkc
- label
- large
- latin
- lead
- lewis
- li2o
- life
- light
- limacons
- limit
- line
- lines
- lipid
- lipids
- liquid
- literary
- live
- london
- long
- lowry
- macromolecule
- magnesium
- make
- many
- marilyn
- mark
- mars
- math
- matrix
- maxima
- mean
- meaning
- means
- melt
- menumonics
- metal
- metals
- meters
- methane
- methanol
- methyl
- microscope
- milian
- mililiters
- milliliters
- million
- missouri
- model
- modified
- molarity
- molecular
- molecules
- moles
- mollusks
- moment
- more
- most
- n2o4
- n2o5
- na2c2o4
- nacl
- nacl22nacl
- name
- names
- naming
- naoh
- natural
- need
- negative
- neon
- neutral
- nh4cl
- niche
- nitrade
- nitrate
- nitride
- nitrogen
- node
- nonmetals
- nonpolar
- notation
- nova
- nuclear
- nucleic
- nucleotide
- nucleus
- number
- numbers
- numerals
- older
- only
- open
- orange
- orbitals
- order
- osmosis
- over
- oxidation
- oxidize
- oxidizing
- oxyge
- oxygen
- paint
- pair
- pairs
- parabola
- parallax
- paramagnetic
- partial
- parts
- pcl5
- pent
- pentanel
- percent
- perfect
- periodic
- petroleum
- photon
- photons
- physiological
- pick
- place
- plants
- plot
- pluperfect
- plural
- plus
- pluto
- point
- polar
- polulation
- polygon
- positive
- precalculus
- predicting
- prime
- produced
- product
- proofs
- protein
- proteins
- protist
- proton
- protons
- purine
- purity
- pvnrt
- pyrimidine
- quadrant
- quartic
- questions
- quotient
- r8cos
- r9sin
- radius
- range
- rate
- rational
- reactive
- real
- rectangles
- rectangular
- recursive
- redox
- reducing
- reflect
- reflection
- regression
- regular
- relative
- represents
- reproduce
- requirement
- resonance
- respiration
- reversible
- rhombuses
- riemann
- road
- root
- roots
- rule
- same
- sank
- satire
- scl2
- score
- sec2x
- sec2xcsc2xsec2x
- sec4pi
- secant
- secx
- secxsinx
- seen
- sef4
- selected
- self
- seltzer
- semi
- semicircle
- semicolon
- series
- shale
- shape
- shapes
- shop
- short
- shorthand
- sigma
- sign
- signaling
- silicon
- silver
- similar
- simlified
- simplest
- simplified
- simplify
- sin1
- sin2
- sin2x
- sin4x
- sin5x
- sin7x
- sine
- single
- sinx
- sinx0
- sinx2sinxcosx0
- site
- sketch
- skull
- slate
- slippery
- slope
- slopes
- sodium
- solubility
- soluble
- solution
- solutions
- solve
- specific
- spectroscopy
- spectrum
- sphere
- spherical
- split
- spontaneous
- sqrt
- square
- squared
- standard
- state
- statistic
- statistics
- step
- stereocenters
- steric
- sticks
- store
- strong
- stronger
- structure
- structures
- strucural
- styrene
- sucrose
- sugars
- sulfide
- sunk
- supplies
- surface
- symbol
- synod
- system
- table
- tan2t
- tan60
- tangent
- tanx
- taxonomy
- taylor
- tell
- tens
- tense
- tenths
- terminal
- terms
- tertiary
- test
- tetrafluoride
- that
- theme
- then
- theta
- theta9sin
- things
- thirteen
- three
- through
- ti84
- time
- times
- tips
- topic
- total
- transition
- tree
- trends
- triangle
- trig
- trigonal
- type
- types
- undefined
- under
- unit
- universe
- unpaired
- upper
- uracil
- uranium
- used
- using
- vacuole
- valence
- value
- values
- vanadium
- variation
- velocity
- verb
- verify
- versus
- vertex
- vertices
- viscosity
- volume
- vsepr
- walls
- water
- wave
- wavelength
- wedge
- what
- whats
- when
- where
- which
- whole
- will
- with
- work
- written
- wwhere
- xaxis
- xcos2x
- xef4
- xenon
- xlnx
- xsinx
- xsinxcosx
- yield
- z_025
- zero
- zinc
-
How to Play Pick up Sticks: 13 Steps (with Pictures) wikiHow . Web Step 1, Get sticks to play the game. You will need a set of pick u...
-
Polar molecules must contain polar bonds due to a difference in electronegativity between the bonded atoms. Polar in chemistry, polarity is...
-
Let f ( x) = 2 t 7 let the numerator and denominator be separate functions, so that g ( x) = 2 h ( x) = t 7 so f ( t) = g (. What you are p...